
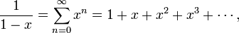
Power series
Did you know...
This Schools selection was originally chosen by SOS Children for schools in the developing world without internet access. It is available as a intranet download. See http://www.soschildren.org/sponsor-a-child to find out about child sponsorship.
In mathematics, a power series (in one variable) is an infinite series of the form
where an represents the coefficient of the nth term, c is a constant, and x varies around c (for this reason one sometimes speaks of the series as being centered at c). This series usually arises as the Taylor series of some known function; the Taylor series article contains many examples.
In many situations c is equal to zero, for instance when considering a Maclaurin series. In such cases, the power series takes the simpler form
These power series arise primarily in analysis, but also occur in combinatorics (under the name of generating functions) and in electrical engineering (under the name of the Z-transform). The familiar decimal notation for integers can also be viewed as an example of a power series, but with the argument x fixed at 10. In number theory, the concept of p-adic numbers is also closely related to that of a power series.

Examples
Any polynomial can be easily expressed as a power series around any centre c, albeit one with most coefficients equal to zero. For instance, the polynomial
can be written as a power series around the centre
as
or around the centre
as
or indeed around any other centre c. One can view power series as being like "polynomials of infinite degree," although power series are not polynomials.
The geometric series formula
which is valid for
, is one of the most important examples of a power series, as are the exponential function formula
and the sine formula
valid for all real x. These power series are also examples of Taylor series.
Negative powers are not permitted in a power series, for instance
is not considered a power series (although it is a Laurent series). Similarly, fractional powers such as
are not permitted (but see Puiseux series). The coefficients
are not allowed to depend on
, thus for instance:
is not a power series.
Radius of convergence
A power series will converge for some values of the variable x and may diverge for others. All power series will converge at x = c. There is always a number r with 0 ≤ r ≤ ∞ such that the series converges whenever |x − c| < r and diverges whenever |x − c| > r. The number r is called the radius of convergence of the power series; in general it is given as
or, equivalently,

(see limit superior and limit inferior). A fast way to compute it is
if this limit exists.
The series converges absolutely for |x - c| < r and converges uniformly on every compact subset of {x : |x − c| < r}.
For |x - c| = r, we cannot make any general statement on whether the series converges or diverges. However, Abel's theorem states that the sum of the series is continuous at x if the series converges at x.
Operations on power series
Addition and subtraction
When two functions f and g are decomposed into power series around the same centre c, the power series of the sum or difference of the functions can be obtained by termwise addition and subtraction. That is, if:
then
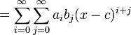
Multiplication and division
With the same definitions above, for the power series of the product and quotient of the functions can be obtained as follows:
The sequence
is known as the convolution of the sequences
and
.
For division, observe:
and then use the above, comparing coefficients.
Differentiation and integration
Once a function is given as a power series, it is continuous wherever it converges and is differentiable on the interior of this set. It can be differentiated and integrated quite easily, by treating every term separately:
Both of these series have the same radius of convergence as the original one.
Analytic functions
A function f defined on some open subset U of R or C is called analytic if it is locally given by power series. This means that every a ∈ U has an open neighbourhood V ⊆ U, such that there exists a power series with centre a which converges to f(x) for every x ∈ V.
Every power series with a positive radius of convergence is analytic on the interior of its region of convergence. All holomorphic functions are complex-analytic. Sums and products of analytic functions are analytic, as are quotients as long as the denominator is non-zero.
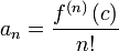
If a function is analytic, then it is infinitely often differentiable, but in the real case the converse is not generally true. For an analytic function, the coefficients an can be computed as
where
denotes the nth derivative of f at c, and
. This means that every analytic function is locally represented by its Taylor series.
The global form of an analytic function is completely determined by its local behaviour in the following sense: if f and g are two analytic functions defined on the same connected open set U, and if there exists an element c∈U such that f (n)(c) = g (n)(c) for all n ≥ 0, then f(x) = g(x) for all x ∈ U.
If a power series with radius of convergence r is given, one can consider analytic continuations of the series, i.e. analytic functions f which are defined on larger sets than { x : |x - c| < r } and agree with the given power series on this set. The number r is maximal in the following sense: there always exists a complex number x with |x - a| = r such that no analytic continuation of the series can be defined at x.
The power series expansion of the inverse function of an analytic function can be determined using the Lagrange inversion theorem.
Formal power series
In abstract algebra, one attempts to capture the essence of power series without being restricted to the fields of real and complex numbers, and without the need to talk about convergence. This leads to the concept of formal power series, a concept of great utility in algebraic combinatorics.
Power series in several variables
An extension of the theory is necessary for the purposes of multivariable calculus. A power series is here defined to be an infinite series of the form
where j = (j1, ..., jn) is a vector of natural numbers, the coefficients a(j1,...,jn) are usually real or complex numbers, and the centre c = (c1, ..., cn) and argument x = (x1, ..., xn) are usually real or complex vectors. In the more convenient multi-index notation this can be written
The theory of such series is trickier than for single-variable series, with more complicated regions of convergence. For instance, the power series
is absolutely convergent in the set
between two hyperbolae. (This is an example of a log-convex set, in the sense that the set of points
, where
lies in the above region, is a convex set. More generally, one can show that when c=0, the interior of the region of absolute convergence is always a log-convex set in this sense.) On the other hand, in the interior of this region of convergence one may differentiate and integrate under the series sign, just as one may with ordinary power series.
Order of a power series
Let α be a multi-index for a power series f(x1, x2, …, xn). The order of the power series f is defined to be the least value |α| such that aα ≠ 0, or 0 if f ≡ 0. In particular, for a power series f(x) in a single variable x, the order of f is the smallest power of x with a nonzero coefficient. This definition readily extends to Laurent series.






















