
Exponential function
Did you know...
Arranging a Wikipedia selection for schools in the developing world without internet was an initiative by SOS Children. With SOS Children you can choose to sponsor children in over a hundred countries
The exponential function is a function in mathematics. The application of this function to a value x is written as exp(x). Equivalently, this can be written in the form ex, where e is a mathematical constant, the base of the natural logarithm, which equals approximately 2.718281828, and is also known as Euler's number.
As a function of the real variable x, the graph of y=ex is always positive (above the x axis) and increasing (viewed left-to-right). It never touches the x axis, although it gets arbitrarily close to it (thus, the x axis is a horizontal asymptote to the graph). Its inverse function, the natural logarithm, ln(x), is defined for all positive x. The exponential function is occasionally referred to as the anti-logarithm. However, this terminology seems to have fallen into disuse in recent times.
Sometimes, especially in the sciences, the term exponential function is more generally used for functions of the form kax, where a, called the base, is any positive real number not equal to one. This article will focus initially on the exponential function with base e, Euler's number.
In general, the variable x can be any real or complex number, or even an entirely different kind of mathematical object; see the formal definition below.
Properties
Most simply, exponential functions multiply at a constant rate. For example the population of a bacterial culture which doubles every 20 minutes can (approximatively, as this is not really a continuous problem) be expressed as an exponential, as can the value of a car which decreases by 10% per year.
Using the natural logarithm, one can define more general exponential functions. The function
defined for all a > 0, and all real numbers x, is called the exponential function with base a. Note that this definition of
rests on the previously established existence of the function
, defined for all real numbers. (Here, we neither formally nor conceptually clarify whether such a function exists or what non-natural exponents are supposed to mean.)
Note that the equation above holds for a = e, since
Exponential functions "translate between addition and multiplication" as is expressed in the first three and the fifth of the following exponential laws:
These are valid for all positive real numbers a and b and all real numbers x and y. Expressions involving fractions and roots can often be simplified using exponential notation:
and, for any a > 0, real number b, and integer n > 1:
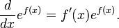
Derivatives and differential equations
The importance of exponential functions in mathematics and the sciences stems mainly from properties of their derivatives. In particular,
That is, ex is its own derivative. Functions of the form
for constant K are the only functions with that property. (This follows from the Picard-Lindelöf theorem, with
and
.) Other ways of saying the same thing include:
- The slope of the graph at any point is the height of the function at that point.
- The rate of increase of the function at x is equal to the value of the function at x.
- The function solves the differential equation
. - exp is a fixed point of derivative as a functional
In fact, many differential equations give rise to exponential functions, including the Schrödinger equation and the Laplace's equation as well as the equations for simple harmonic motion.
For exponential functions with other bases:
Thus, any exponential function is a constant multiple of its own derivative.
If a variable's growth or decay rate is proportional to its size — as is the case in unlimited population growth (see Malthusian catastrophe), continuously compounded interest, or radioactive decay — then the variable can be written as a constant times an exponential function of time.
Furthermore for any differentiable function f(x), we find, by the chain rule:
Formal definition
The exponential function ex can be defined in a variety of equivalent ways, as an infinite series. In particular it may be defined by a power series:
.
Note that this definition has the form of a Taylor series. Using an alternate definition for the exponential function should lead to the same result when expanded as a Taylor series.
A less common definition defines
as the solution
to the equation
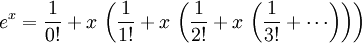
Numerical value
To obtain the numerical value of the exponential function, the infinite series can be rewritten as :
This expression will converge quickly if we can ensure that x is less than one.
To ensure this, we can use the following identity.
- Where
is the integer part of 
- Where
is the fractional part of 
- Hence,
is always less than 1 and
and
add up to
.
The value of the constant ez can be calculated beforehand by multiplying e with itself z times.
Computing exp(x) for real x
An even better algorithm can be found as follows.
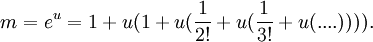
First, notice that the answer y = ex is usually a floating point number represented by a mantissa m and an exponent n so y = m 2n for some integer n and suitably small m. Thus, we get:
Taking log on both sides of the last two gives us:
Thus, we get n as the result of dividing x by log(2) and finding the greatest integer that is not greater than this - that is, the floor function:
Having found n we can then find the fractional part u like this:
The number u is small and in the range 0 ≤ u < ln(2) and so we can use the previously mentioned series to compute m:
Having found m and n we can then produce y by simply combining those two into a floating point number:
Continued fractions for ex
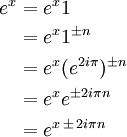
Via Euler's identity:
More advanced techniques are necessary to construct the following:
Setting m = x and n = 2 yields
Computation of
for natural number (positive integer) n
There is a fast way to compute
when n is a positive integer. It makes use of the fact that testing that such a number is odd is very easy on a computer and dividing by 2 is also fast by simply shifting all the bits to the right.
step 1, initialize some variables
y := 1, k := n, f := a
step 2, test k
if k is 0, go to step 7
step 3, (k is not 0 here, test if k is even)
if k is even go to step 5
step 4, (k is odd here, multiply in)
step 5, (divide k by 2 / ignore remainder, divide by shift, also square f)
k := k shift right by 1 f := f * f
step 6, (loop)
go back to step 2
step 7, (done, y is result = an)
return y
In C you can write the algorithm like this:
double power(double a, unsigned int n)
{
double y = 1;
double f = a;
unsigned int k = n;
while (k != 0) {
if ((k & 1) != 0) y *= f;
k >>= 1;
f *= f;
}
return y;
}
While a naive multiplication of a^100 would require 100 iterations of a loop multiplying a, this loop iterates only 7 times (The number 100 is written using 7 bits).
This algorithm can easily be extended for signed integers by doing the following steps before and after:
step 1. if k is negative, negate the value so we get a positive k. n still remembers the original value.
step 2. Perform the above computation for 
step 3. If n is negative, invert the result so y := 1/y. y is now the result of
for an integer n.
On the complex plane
As in the real case, the exponential function can be defined on the complex plane in several equivalent forms. Some of these definitions mirror the formulas for the real-valued exponential function. Specifically, one can still use the power series definition, where the real value is replaced by a complex one:
Using this definition, it is easy to show why
holds in the complex plane.
Another definition extends the real exponential function. First, we state the desired property
. For
we use the real exponential function. We then proceed by defining only:
. Thus we use the real definition rather than ignore it.
When considered as a function defined on the complex plane, the exponential function retains the important properties
for all z and w.
It is a holomorphic function which is periodic with imaginary period
and can be written as
where a and b are real values. This formula connects the exponential function with the trigonometric functions and to the hyperbolic functions. Thus we see that all elementary functions except for the polynomials spring from the exponential function in one way or another.
See also Euler's formula.
Extending the natural logarithm to complex arguments yields a multi-valued function, ln(z). We can then define a more general exponentiation:
for all complex numbers z and w. This is also a multi-valued function. The above stated exponential laws remain true if interpreted properly as statements about multi-valued functions.
The exponential function maps any line in the complex plane to a logarithmic spiral in the complex plane with the centre at the origin. Two special cases might be noted: when the original line is parallel to the real axis, the resulting sprial never closes in on itself; when the original line is parallel to the imaginary axis, the resulting spiral is a circle of some radius.
- Plots of the exponential function on the complex plane
Computation of exp(z) for a complex z
This is fairly straightforward given the formula
Note that the argument y to the trigonometric functions is real.
Computation of
where both a and b are complex
This is also straightforward given the formulae:
if a = x + yi and b = u + vi we can first convert a to polar co-ordinates by finding a
and an
such that:
or
and 
Thus,
or
and
or 
Now, we have that:
so:
The exponent is thus a simple multiplication of two complex values yielding a complex result which can then be brought back to regular cartesian format by the formula:
where p is the real part of the multiplication:
and q is the imaginary part of the multiplication:
Note that all of
,
and
are all real values in these computations. The result of
is thus
.
Also note that since we compute and use
rather than r itself you don't have to compute the square root. Instead simply compute
. Watch out for potential overflow though and possibly scale down the x and y prior to computing
by a suitable power of 2 if
and
are so large that you would overflow. If you instead run the risk of underflow, scale up by a suitable power of 2 prior to computing the sum of the squares. In either case you then get the scaled version of
- we can call it
and the scaled version of
- call it
and so you get:
and 
where
is the scaling factor.
Then you get
where
and
are scaled so that the sum of the squares will not overflow or underflow. If
is very large while
is very small so that you cannot find such a scaling factor you will overflow anyway and so the sum is essentially equal to
since y is ignored and thus you get
in this case and
. The same happens in the case when
is very small and
is very large. If both are very large or both are very small you can find a scaling factor as mentioned earlier.
Note that this function is, in general, multivalued for complex arguments. This is because rotation of a single point through any angle plus 360 degrees, or
radians, is the same as rotation through the angle itself. So
above is not unique:
for any integer
would do as well. The convention though is that when
is taken as a single value it must be that for
, ie. we use the smallest possible (in magnitude) value of theta, which has a magnitude of, at most,
.
Matrices and Banach algebras
The definition of the exponential function given above can be used verbatim for every Banach algebra, and in particular for square matrices (in which case the function is called the matrix exponential). In this case we have


is invertible with inverse 
- the derivative of
at the point
is that linear map which sends
to
.
In the context of non-commutative Banach algebras, such as algebras of matrices or operators on Banach or Hilbert spaces, the exponential function is often considered as a function of a real argument:
where A is a fixed element of the algebra and t is any real number. This function has the important properties
On Lie algebras
The exponential map sending a Lie algebra to the Lie group that gave rise to it shares the above properties, which explains the terminology. In fact, since R is the Lie algebra of the Lie group of all positive real numbers with multiplication, the ordinary exponential function for real arguments is a special case of the Lie algebra situation. Similarly, since the Lie algebra M (n, R) of all square real matrices belongs to the Lie group of all invertible square matrices, the exponential function for square matrices is a special case of the Lie algebra exponential map.
Double exponential function
The term double exponential function can have two meanings:
- a function with two exponential terms, with different exponents
- a function
; this grows even faster than an exponential function; for example, if a = 10: f(−1) = 1.26, f(0) = 10, f(1) = 1010, f(2) = 10100 = googol, ..., f(100) = googolplex.
Factorials grow faster than exponential functions, but slower than double-exponential functions. Fermat numbers, generated by
and double Mersenne numbers generated by
are examples of double exponential functions.
Similar properties of
and the function 
The function
is not in C(z) (ie. not the quotient of two polynomials with complex coefficients).
For n distinct complex numbers
,
is linearly independent over C(z).
The function
is transcendental over C(z).
Periodicity
For all integers n and complex x:

Proof:

For all positive integers n and complex a & x:











![\,\sqrt[n]{a^b} = \left(\sqrt[n]{a}\right)^b = a^{b/n}.](../../images/90/9057.png)









![\,= e^z \times \left[{1 \over 0!} + f \, \left( {1 \over 1!} + f \, \left( {1 \over 2!} + f \, \left( {1 \over 3!} + \cdots \right)\right)\right)\right]](../../images/90/9079.png)
































